
Thermodynamics imposes the biophysical boundaries to human civilisation
WHAT IS THERMODYNAMICS
from encyclopaedia Britannica
https://www.britannica.com/science/thermodynamics/Entropy-and-heat-death
Thermodynamics is the science of the relationship between heat, work, temperature, and energy. In broad terms, thermodynamics deals with the transfer of energy from one place to another and from one form to another. The key concept is that heat is a form of energy corresponding to a definite amount of mechanical work.
Heat was not formally recognized as a form of energy until about 1798, when Count Rumford (Sir Benjamin Thompson), a British military engineer, noticed that limitless amounts of heat could be generated in the boring of cannon barrels and that the amount of heat generated is proportional to the work done in turning a blunt boring tool. Rumford’s observation of the proportionality between heat generated and work done lies at the foundation of thermodynamics. Another pioneer was the French military engineer Sadi Carnot, who introduced the concept of the heat-engine cycle and the principle of reversibility in 1824. Carnot’s work concerned the limitations on the maximum amount of work that can be obtained from a steam engine operating with a high-temperature heat transfer as its driving force. Later that century, these ideas were developed by Rudolf Clausius, a German mathematician and physicist, into the first and second laws of thermodynamics, respectively.
The most important laws of thermodynamics are:
- The zeroth law of thermodynamics. When two systems are each in thermal equilibrium with a third system, the first two systems are in thermal equilibriumwith each other. This property makes it meaningful to use thermometers as the “third system” and to define a temperature scale.
- The first law of thermodynamics, or the law of conservation of energy. The change in a system’s internal energy is equal to the difference between heat added to the system from its surroundings and work done by the system on its surroundings.
- The second law of thermodynamics. Heat does not flow spontaneously from a colder region to a hotter region, or, equivalently, heat at a given temperature cannot be converted entirely into work. Consequently, the entropy of a closed system, or heat energy per unit temperature, increases over time toward some maximum value. Thus, all closed systems tend toward an equilibrium state in which entropy is at a maximum and no energy is available to do useful work.
- The third law of thermodynamics. The entropy of a perfect crystal of an element in its most stable form tends to zero as the temperature approaches absolute zero. This allows an absolute scale for entropy to be established that, from a statistical point of view, determines the degree of randomness or disorder in a system.
Although thermodynamics developed rapidly during the 19th century in response to the need to optimize the performance of steam engines, the sweeping generality of the laws of thermodynamics makes them applicable to all physical and biological systems. In particular, the laws of thermodynamics give a complete description of all changes in the energy state of any system and its ability to perform useful work on its surroundings.
This article covers classical thermodynamics, which does not involve the consideration of individual atoms or molecules. Such concerns are the focus of the branch of thermodynamics known as statistical thermodynamics, or statistical mechanics, which expresses macroscopic thermodynamic properties in terms of the behaviour of individual particles and their interactions. It has its roots in the latter part of the 19th century, when atomic and molecular theories of matter began to be generally accepted.
Fundamental concepts
Thermodynamic states
The application of thermodynamic principles begins by defining a system that is in some sense distinct from its surroundings. For example, the system could be a sample of gasinside a cylinder with a movable piston, an entire steam engine, a marathon runner, the planet Earth, a neutron star, a black hole, or even the entire universe. In general, systems are free to exchange heat, work, and other forms of energy with their surroundings.
A system’s condition at any given time is called its thermodynamic state. For a gas in a cylinder with a movable piston, the state of the system is identified by the temperature, pressure, and volume of the gas. These properties are characteristic parameters that have definite values at each state and are independent of the way in which the system arrived at that state. In other words, any change in value of a property depends only on the initial and final states of the system, not on the path followed by the system from one state to another. Such properties are called state functions. In contrast, the work done as the piston moves and the gas expands and the heat the gas absorbs from its surroundings depend on the detailed way in which the expansion occurs.
The behaviour of a complex thermodynamic system, such as Earth’s atmosphere, can be understood by first applying the principles of states and properties to its component parts—in this case, water, water vapour, and the various gases making up the atmosphere. By isolating samples of material whose states and properties can be controlled and manipulated, properties and their interrelations can be studied as the system changes from state to state.
Thermodynamic equilibrium
A particularly important concept is thermodynamic equilibrium, in which there is no tendency for the state of a system to change spontaneously. For example, the gas in a cylinder with a movable piston will be at equilibrium if the temperature and pressure inside are uniform and if the restraining force on the piston is just sufficient to keep it from moving. The system can then be made to change to a new state only by an externally imposed change in one of the state functions, such as the temperature by adding heat or the volume by moving the piston. A sequence of one or more such steps connecting different states of the system is called a process. In general, a system is not in equilibrium as it adjusts to an abrupt change in its environment. For example, when a balloon bursts, the compressed gas inside is suddenly far from equilibrium, and it rapidly expands until it reaches a new equilibrium state. However, the same final state could be achieved by placing the same compressed gas in a cylinder with a movable piston and applying a sequence of many small increments in volume (and temperature), with the system being given time to come to equilibrium after each small increment. Such a process is said to be reversible because the system is at (or near) equilibrium at each step along its path, and the direction of change could be reversed at any point. This example illustrates how two different paths can connect the same initial and final states. The first is irreversible (the balloon bursts), and the second is reversible. The concept of reversible processes is something like motion without friction in mechanics. It represents an idealized limiting case that is very useful in discussing the properties of real systems. Many of the results of thermodynamics are derived from the properties of reversible processes.
Temperature
The concept of temperature is fundamental to any discussion of thermodynamics, but its precise definition is not a simple matter. For example, a steel rod feels colder than a wooden rod at room temperature simply because steel is better at conducting heat away from the skin. It is therefore necessary to have an objective way of measuring temperature. In general, when two objects are brought into thermal contact, heat will flow between them until they come into equilibrium with each other. When the flow of heat stops, they are said to be at the same temperature. The zeroth law of thermodynamics formalizes this by asserting that if an object A is in simultaneous thermal equilibrium with two other objects B and C, then B and C will be in thermal equilibrium with each other if brought into thermal contact. Object A can then play the role of a thermometer through some change in its physical properties with temperature, such as its volume or its electrical resistance.
With the definition of equality of temperature in hand, it is possible to establish a temperature scale by assigning numerical values to certain easily reproducible fixed points. For example, in the Celsius (°C) temperature scale, the freezing point of pure water is arbitrarily assigned a temperature of 0 °C and the boiling point of water the value of 100 °C (in both cases at 1 standard atmosphere; see atmospheric pressure). In the Fahrenheit (°F) temperature scale, these same two points are assigned the values 32 °F and 212 °F, respectively. There are absolute temperature scales related to the second law of thermodynamics. The absolute scale related to the Celsius scale is called the Kelvin (K) scale, and that related to the Fahrenheit scale is called the Rankine (°R) scale. These scales are related by the equations K = °C + 273.15, °R = °F + 459.67, and °R = 1.8 K. Zero in both the Kelvin and Rankine scales is at absolute zero.
Work and energy
Energy has a precise meaning in physics that does not always correspond to everyday language, and yet a precise definition is somewhat elusive. The word is derived from the Greek word ergon, meaning work, but the term work itself acquired a technical meaning with the advent of Newtonian mechanics. For example, a man pushing on a car may feel that he is doing a lot of work, but no work is actually done unless the car moves. The work done is then the product of the force applied by the man multiplied by the distance through which the car moves. If there is no friction and the surface is level, then the car, once set in motion, will continue rolling indefinitely with constant speed. The rolling car has something that a stationary car does not have—it has kinetic energy of motion equal to the work required to achieve that state of motion. The introduction of the concept of energy in this way is of great value in mechanics because, in the absence of friction, energy is never lost from the system, although it can be converted from one form to another. For example, if a coasting car comes to a hill, it will roll some distance up the hill before coming to a temporary stop. At that moment its kinetic energy of motion has been converted into its potential energy of position, which is equal to the work required to lift the car through the same vertical distance. After coming to a stop, the car will then begin rolling back down the hill until it has completely recovered its kinetic energy of motion at the bottom. In the absence of friction, such systems are said to be conservative because at any given moment the total amount of energy (kinetic plus potential) remains equal to the initial work done to set the system in motion.
As the science of physics expanded to cover an ever-wider range of phenomena, it became necessary to include additional forms of energy in order to keep the total amount of energy constant for all closed systems (or to account for changes in total energy for open systems). For example, if work is done to accelerate charged particles, then some of the resultant energy will be stored in the form of electromagnetic fields and carried away from the system as radiation. In turn the electromagnetic energy can be picked up by a remote receiver (antenna) and converted back into an equivalent amount of work. With his theory of special relativity, Albert Einstein realized that energy (E) can also be stored as mass (m) and converted back into energy, as expressed by his famous equation E = mc2, where c is the velocity of light. All of these systems are said to be conservative in the sense that energy can be freely converted from one form to another without limit. Each fundamental advance of physics into new realms has involved a similar extension to the list of the different forms of energy. In addition to preserving the first law of thermodynamics (see below), also called the law of conservation of energy, each form of energy can be related back to an equivalent amount of work required to set the system into motion.
Thermodynamics encompasses all of these forms of energy, with the further addition of heat to the list of different kinds of energy. However, heat is fundamentally different from the others in that the conversion of work (or other forms of energy) into heat is not completely reversible, even in principle. In the example of the rolling car, some of the work done to set the car in motion is inevitably lost as heat due to friction, and the car eventually comes to a stop on a level surface. Even if all the generated heat were collected and stored in some fashion, it could never be converted entirely back into mechanical energy of motion. This fundamental limitation is expressed quantitatively by the second law of thermodynamics (see below).
The role of friction in degrading the energy of mechanical systems may seem simple and obvious, but the quantitative connection between heat and work, as first discovered by Count Rumford, played a key role in understanding the operation of steam engines in the 19th century and similarly for all energy-conversion processes today.
Total internal energy
Although classical thermodynamics deals exclusively with the macroscopic properties of materials—such as temperature, pressure, and volume—thermal energy from the addition of heat can be understood at the microscopic level as an increase in the kinetic energy of motion of the molecules making up a substance. For example, gas molecules have translational kinetic energy that is proportional to the temperature of the gas: the molecules can rotate about their centre of mass, and the constituent atoms can vibrate with respect to each other (like masses connected by springs). Additionally, chemical energy is stored in the bonds holding the molecules together, and weaker long-range interactions between the molecules involve yet more energy. The sum total of all these forms of energy constitutes the total internal energy of the substance in a given thermodynamic state. The total energy of a system includes its internal energy plus any other forms of energy, such as kinetic energy due to motion of the system as a whole (e.g., water flowing through a pipe) and gravitational potential energy due to its elevation.
The first law of thermodynamics
The laws of thermodynamics are deceptively simple to state, but they are far-reaching in their consequences. The first law asserts that if heat is recognized as a form of energy, then the total energy of a system plus its surroundings is conserved; in other words, the total energy of the universe remains constant.
The first law is put into action by considering the flow of energy across the boundary separating a system from its surroundings. Consider the classic example of a gas enclosed in a cylinder with a movable piston. The walls of the cylinder act as the boundary separating the gas inside from the world outside, and the movable piston provides a mechanism for the gas to do work by expanding against the force holding the piston (assumed frictionless) in place. If the gas does work W as it expands, and/or absorbs heat Q from its surroundings through the walls of the cylinder, then this corresponds to a net flow of energy W − Q across the boundary to the surroundings. In order to conserve the total energy U, there must be a counterbalancing change ΔU = Q − W (1)in the internal energy of the gas. The first law provides a kind of strict energy accounting system in which the change in the energy account (ΔU) equals the difference between deposits (Q) and withdrawals (W).
There is an important distinction between the quantity ΔU and the related energy quantities Q and W. Since the internal energy U is characterized entirely by the quantities (or parameters) that uniquely determine the state of the system at equilibrium, it is said to be a state function such that any change in energy is determined entirely by the initial (i) and final (f) states of the system: ΔU = Uf − Ui. However, Q and W are not state functions. Just as in the example of a bursting balloon, the gas inside may do no work at all in reaching its final expanded state, or it could do maximum work by expanding inside a cylinder with a movable piston to reach the same final state. All that is required is that the change in energy (ΔU) remain the same. By analogy, the same change in one’s bank account could be achieved by many different combinations of deposits and withdrawals. Thus, Q and W are not state functions, because their values depend on the particular process (or path) connecting the same initial and final states. Just as it is more meaningful to speak of the balance in one’s bank account than its deposit or withdrawal content, it is only meaningful to speak of the internal energy of a system and not its heat or work content.
From a formal mathematical point of view, the incremental change dU in the internal energy is an exact differential (see differential equation), while the corresponding incremental changes d′Q and d′W in heat and work are not, because the definite integralsof these quantities are path-dependent. These concepts can be used to great advantage in a precise mathematical formulation of thermodynamics (see below Thermodynamic properties and relations).
Heat engines
The classic example of a heat engine is a steam engine, although all modern engines follow the same principles. Steam engines operate in a cyclic fashion, with the piston moving up and down once for each cycle. Hot high-pressure steam is admitted to the cylinder in the first half of each cycle, and then it is allowed to escape again in the second half. The overall effect is to take heat Q1 generated by burning a fuel to make steam, convert part of it to do work, and exhaust the remaining heat Q2 to the environment at a lower temperature. The net heat energy absorbed is then Q = Q1 − Q2. Since the engine returns to its initial state, its internal energy U does not change (ΔU = 0). Thus, by the first law of thermodynamics, the work done for each complete cycle must be W = Q1 − Q2. In other words, the work done for each complete cycle is just the difference between the heat Q1 absorbed by the engine at a high temperature and the heat Q2 exhausted at a lower temperature. The power of thermodynamics is that this conclusion is completely independent of the detailed working mechanism of the engine. It relies only on the overall conservation of energy, with heat regarded as a form of energy.
In order to save money on fuel and avoid contaminating the environment with waste heat, engines are designed to maximize the conversion of absorbed heat Q1 into useful work and to minimize the waste heat Q2. The Carnot efficiency (η) of an engine is defined as the ratio W/Q1—i.e., the fraction of Q1 that is converted into work. Since W = Q1 − Q2, the efficiency also can be expressed in the form
(2)
If there were no waste heat at all, then Q2 = 0 and η = 1, corresponding to 100 percent efficiency. While reducing friction in an engine decreases waste heat, it can never be eliminated; therefore, there is a limit on how small Q2 can be and thus on how large the efficiency can be. This limitation is a fundamental law of nature—in fact, the second law of thermodynamics (see below).
Isothermal and adiabatic processes
Because heat engines may go through a complex sequence of steps, a simplified model is often used to illustrate the principles of thermodynamics. In particular, consider a gas that expands and contracts within a cylinder with a movable piston under a prescribed set of conditions. There are two particularly important sets of conditions. One condition, known as an isothermal expansion, involves keeping the gas at a constant temperature. As the gas does work against the restraining force of the piston, it must absorb heat in order to conserve energy. Otherwise, it would cool as it expands (or conversely heat as it is compressed). This is an example of a process in which the heat absorbed is converted entirely into work with 100 percent efficiency. The process does not violate fundamental limitations on efficiency, however, because a single expansion by itself is not a cyclic process.
The second condition, known as an adiabatic expansion (from the Greek adiabatos, meaning “impassable”), is one in which the cylinder is assumed to be perfectly insulated so that no heat can flow into or out of the cylinder. In this case the gas cools as it expands, because, by the first law, the work done against the restraining force on the piston can only come from the internal energy of the gas. Thus, the change in the internal energy of the gas must be ΔU = −W, as manifested by a decrease in its temperature. The gas cools, even though there is no heat flow, because it is doing work at the expense of its own internal energy. The exact amount of cooling can be calculated from the heat capacity of the gas.
Many natural phenomena are effectively adiabatic because there is insufficient time for significant heat flow to occur. For example, when warm air rises in the atmosphere, it expands and cools as the pressure drops with altitude, but air is a good thermal insulator, and so there is no significant heat flow from the surrounding air. In this case the surrounding air plays the roles of both the insulated cylinder walls and the movable piston. The warm air does work against the pressure provided by the surrounding air as it expands, and so its temperature must drop. A more-detailed analysis of this adiabatic expansion explains most of the decrease of temperature with altitude, accounting for the familiar fact that it is colder at the top of a mountain than at its base.
The second law of thermodynamics
The first law of thermodynamics asserts that energy must be conserved in any process involving the exchange of heat and work between a system and its surroundings. A machine that violated the first law would be called a perpetual motion machine of the first kind because it would manufacture its own energy out of nothing and thereby run forever. Such a machine would be impossible even in theory. However, this impossibility would not prevent the construction of a machine that could extract essentially limitless amounts of heat from its surroundings (earth, air, and sea) and convert it entirely into work. Although such a hypothetical machine would not violate conservation of energy, the total failure of inventors to build such a machine, known as a perpetual motion machine of the second kind, led to the discovery of the second law of thermodynamics. The second law of thermodynamics can be precisely stated in the following two forms, as originally formulated in the 19th century by the Scottish physicist William Thomson (Lord Kelvin) and the German physicist Rudolf Clausius, respectively:
A cyclic transformation whose only final result is to transform heat extracted from a source which is at the same temperature throughout into work is impossible.
A cyclic transformation whose only final result is to transfer heat from a body at a given temperature to a body at a higher temperature is impossible.
The two statements are in fact equivalent because, if the first were possible, then the work obtained could be used, for example, to generate electricity that could then be discharged through an electric heater installed in a body at a higher temperature. The net effect would be a flow of heat from a lower temperature to a higher temperature, thereby violating the second (Clausius) form of the second law. Conversely, if the second form were possible, then the heat transferred to the higher temperature could be used to run a heat engine that would convert part of the heat into work. The final result would be a conversion of heat into work at constant temperature—a violation of the first (Kelvin) form of the second law.
Central to the following discussion of entropy is the concept of a heat reservoir capable of providing essentially limitless amounts of heat at a fixed temperature. This is of course an idealization, but the temperature of a large body of water such as the Atlantic Ocean does not materially change if a small amount of heat is withdrawn to run a heat engine. The essential point is that the heat reservoir is assumed to have a well-defined temperature that does not change as a result of the process being considered.
Entropy
Entropy and efficiency limits
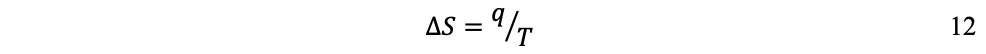
The concept of entropy was first introduced in 1850 by Clausius as a precise mathematical way of testing whether the second law of thermodynamics is violated by a particular process. The test begins with the definition that if an amount of heat Q flows into a heat reservoir at constant temperature T, then its entropy Sincreases by ΔS = Q/T. (This equation in effect provides a thermodynamic definition of temperature that can be shown to be identical to the conventional thermometric one.) Assume now that there are two heat reservoirs R1 and R2 at temperatures T1 and T2. If an amount of heat Qflows from R1 to R2, then the net entropy change for the two reservoirs is
(3) ΔS is positive, provided that T1 > T2. Thus, the observation that heat never flows spontaneously from a colder region to a hotter region (the Clausius form of the second law of thermodynamics) is equivalent to requiring the net entropy change to be positive for a spontaneous flow of heat. If T1 = T2, then the reservoirs are in equilibrium and ΔS = 0.
The condition ΔS ≥ 0 determines the maximum possible efficiency of heat engines. Suppose that some system capable of doing work in a cyclic fashion (a heat engine) absorbs heat Q1 from R1 and exhausts heat Q2 to R2 for each complete cycle. Because the system returns to its original state at the end of a cycle, its energy does not change. Then, by conservation of energy, the work done per cycle is W = Q1 − Q2, and the net entropy change for the two reservoirs is
(4)To make W as large as possible, Q2 should be kept as small as possible relative to Q1. However, Q2 cannot be zero, because this would make ΔS negative and so violate the second law of thermodynamics. The smallest possible value of Q2 corresponds to the condition ΔS = 0, yielding
(5)This is the fundamental equation limiting the efficiency of all heat engines whose function is to convert heat into work (such as electric power generators). The actual efficiency is defined to be the fraction of Q1 that is converted to work (W/Q1), which is equivalent to equation (2).
The maximum efficiency for a given T1 and T2 is thus
(6)A process for which ΔS = 0 is said to be reversible because an infinitesimal change would be sufficient to make the heat engine run backward as a refrigerator.
As an example, the properties of materials limit the practical upper temperature for thermal power plants to T1 ≅ 1,200 K. Taking T2 to be the temperature of the environment(300 K), the maximum efficiency is 1 − 300/1,200 = 0.75. Thus, at least 25 percent of the heat energy produced must be exhausted into the environment as waste heat to avoid violating the second law of thermodynamics. Because of various imperfections, such as friction and imperfect thermal insulation, the actual efficiency of power plants seldom exceeds about 60 percent. However, because of the second law of thermodynamics, no amount of ingenuity or improvements in design can increase the efficiency beyond about 75 percent.
Entropy and heat death
The example of a heat engine illustrates one of the many ways in which the second law of thermodynamics can be applied. One way to generalize the example is to consider the heat engine and its heat reservoir as parts of an isolated (or closed) system—i.e., one that does not exchange heat or work with its surroundings. For example, the heat engine and reservoir could be encased in a rigid container with insulating walls. In this case the second law of thermodynamics (in the simplified form presented here) says that no matter what process takes place inside the container, its entropy must increase or remain the same in the limit of a reversible process. Similarly, if the universe is an isolated system, then its entropy too must increase with time. Indeed, the implication is that the universe must ultimately suffer a “heat death” as its entropy progressively increases toward a maximum value and all parts come into thermal equilibrium at a uniform temperature. After that point, no further changes involving the conversion of heat into useful work would be possible. In general, the equilibrium state for an isolated system is precisely that state of maximum entropy. (This is equivalent to an alternate definition for the term entropy as a measure of the disorder of a system, such that a completely random dispersion of elements corresponds to maximum entropy, or minimum information.Seeinformation theory: Entropy.)
Entropy and the arrow of time
The inevitable increase of entropy with time for isolated systems provides an “arrow of time” for those systems. Everyday life presents no difficulty in distinguishing the forward flow of time from its reverse. For example, if a film showed a glass of warm water spontaneously changing into hot water with ice floating on top, it would immediately be apparent that the film was running backward because the process of heat flowing from warm water to hot water would violate the second law of thermodynamics. However, this obvious asymmetry between the forward and reverse directions for the flow of time does not persist at the level of fundamental interactions. An observer watching a film showing two water molecules colliding would not be able to tell whether the film was running forward or backward.
So what exactly is the connection between entropy and the second law? Recall that heat at the molecular level is the random kinetic energy of motion of molecules, and collisions between molecules provide the microscopic mechanism for transporting heat energy from one place to another. Because individual collisions are unchanged by reversing the direction of time, heat can flow just as well in one direction as the other. Thus, from the point of view of fundamental interactions, there is nothing to prevent a chance event in which a number of slow-moving (cold) molecules happen to collect together in one place and form ice, while the surrounding water becomes hotter. Such chance events could be expected to occur from time to time in a vessel containing only a few water molecules. However, the same chance events are never observed in a full glass of water, not because they are impossible but because they are exceedingly improbable. This is because even a small glass of water contains an enormous number of interacting molecules (about 1024), making it highly unlikely that, in the course of their random thermal motion, a significant fraction of cold molecules will collect together in one place. Although such a spontaneous violation of the second law of thermodynamics is not impossible, an extremely patient physicist would have to wait many times the age of the universe to see it happen.
The foregoing demonstrates an important point: the second law of thermodynamics is statistical in nature. It has no meaning at the level of individual molecules, whereas the law becomes essentially exact for the description of large numbers of interacting molecules. In contrast, the first law of thermodynamics, which expresses conservation of energy, remains exactly true even at the molecular level.
The example of ice melting in a glass of hot water also demonstrates the other sense of the term entropy, as an increase in randomness and a parallel loss of information. Initially, the total thermal energy is partitioned in such a way that all of the slow-moving (cold) molecules are located in the ice and all of the fast-moving (hot) molecules are located in the water (or water vapour). After the ice has melted and the system has come to thermal equilibrium, the thermal energy is uniformly distributed throughout the system. The statistical approach provides a great deal of valuable insight into the meaning of the second law of thermodynamics, but, from the point of view of applications, the microscopic structure of matter becomes irrelevant. The great beauty and strength of classical thermodynamics are that its predictions are completely independent of the microscopic structure of matter.
Open systems
Thermodynamic potentials
Most real thermodynamic systems are open systems that exchange heat and work with their environment, rather than the closed systems described thus far. For example, living systems are clearly able to achieve a local reduction in their entropy as they grow and develop; they create structures of greater internal energy (i.e., they lower entropy) out of the nutrients they absorb. This does not represent a violation of the second law of thermodynamics, because a living organism does not constitute a closed system.
In order to simplify the application of the laws of thermodynamics to open systems, parameters with the dimensions of energy, known as thermodynamic potentials, are introduced to describe the system. The resulting formulas are expressed in terms of the Helmholtz free energy F and the Gibbs free energy G, named after the 19th-century German physiologist and physicist Hermann von Helmholtz and the contemporaneousAmerican physicist Josiah Willard Gibbs. The key conceptual step is to separate a system from its heat reservoir. A system is thought of as being held at a constant temperature T by a heat reservoir (i.e., the environment), but the heat reservoir is no longer considered to be part of the system. Recall that the internal energy change (ΔU) of a system is given by ΔU = Q − W, (7)where Q is the heat absorbed and W is the work done. In general, Q and W separately are not state functions, because they are path-dependent. However, if the path is specified to be any reversible isothermal process, then the heat associated with the maximum work (Wmax) is Qmax = TΔS. With this substitution the above equation can be rearranged as −Wmax = ΔU − TΔS. (8)
Note that here ΔS is the entropy change just of the system being held at constant temperature, such as a battery. Unlike the case of an isolated system as considered previously, it does not include the entropy change of the heat reservoir (i.e., the surroundings) required to keep the temperature constant. If this additional entropy change of the reservoir were included, the total entropy change would be zero, as in the case of an isolated system. Because the quantities U, T, and S on the right-hand side are all state functions, it follows that −Wmax must also be a state function. This leads to the definition of the Helmholtz free energy F = U − TS (9)such that, for any isothermal change of the system, ΔF = ΔU − TΔS (10)is the negative of the maximum work that can be extracted from the system. The actual work extracted could be smaller than the ideal maximum, or even zero, which implies that W ≤ −ΔF, with equality applying in the ideal limiting case of a reversible process. When the Helmholtz free energy reaches its minimum value, the system has reached its equilibrium state, and no further work can be extracted from it. Thus, the equilibrium condition of maximum entropy for isolated systems becomes the condition of minimum Helmholtz free energy for open systems held at constant temperature. The one additional precaution required is that work done against the atmosphere be included if the system expands or contracts in the course of the process being considered. Typically, processes are specified as taking place at constant volume and temperature in order that no correction is needed.
Although the Helmholtz free energy is useful in describing processes that take place inside a container with rigid walls, most processes in the real world take place under constant pressure rather than constant volume. For example, chemical reactions in an open test tube—or in the growth of a tomato in a garden—take place under conditions of (nearly) constant atmospheric pressure. It is for the description of these cases that the Gibbs free energy was introduced. As previously established, the quantity −Wmax = ΔU − TΔS (11)is a state function equal to the change in the Helmholtz free energy. Suppose that the process being considered involves a large change in volume (ΔV), such as happens when water boils to form steam. The work done by the expanding water vapour as it pushes back the surrounding air at pressure P is PΔV. This is the amount of work that is now split out from Wmax by writing it in the form Wmax = W′max + PΔV, (12)where W′max is the maximum work that can be extracted from the process taking place at constant temperature T and pressure P, other than the atmospheric work (PΔV). Substituting this partition into the above equation for −Wmax and moving the PΔV term to the right-hand side then yields −W′max = ΔU + PΔV − TΔS. (13)
This leads to the definition of the Gibbs free energy G = U + PV − TS (14)such that, for any isothermal change of the system at constant pressure, ΔG = ΔU + PΔV − TΔS (15)is the negative of the maximum work W′max that can be extracted from the system, other than atmospheric work. As before, the actual work extracted could be smaller than the ideal maximum, or even zero, which implies that W′ ≤ −ΔG, with equality applying in the ideal limiting case of a reversible process. As with the Helmholtz case, when the Gibbs free energy reaches its minimum value, the system has reached its equilibrium state, and no further work can be extracted from it. Thus, the equilibrium condition becomes the condition of minimum Gibbs free energy for open systems held at constant temperature and pressure, and the direction of spontaneous change is always toward a state of lower free energy for the system (like a ball rolling downhill into a valley). Notice in particular that the entropy can now spontaneously decrease (i.e., TΔS can be negative), provided that this decrease is more than offset by the ΔU + PΔV terms in the definition of ΔG. As further discussed below, a simple example is the spontaneous condensation of steam into water. Although the entropy of water is much less than the entropy of steam, the process occurs spontaneously provided that enough heat energy is taken away from the system to keep the temperature from rising as the steam condenses.
A familiar example of free energy changes is provided by an automobile battery. When the battery is fully charged, its Gibbs free energy is at a maximum, and when it is fully discharged (i.e., dead), its Gibbs free energy is at a minimum. The change between these two states is the maximum amount of electrical work that can be extracted from the battery at constant temperature and pressure. The amount of heat absorbed from the environment in order to keep the temperature of the battery constant (represented by the TΔS term) and any work done against the atmosphere (represented by the PΔV term) are automatically taken into account in the energy balance.
Gibbs free energy and chemical reactions
All batteries depend on some chemical reaction of the form reactants → productsfor the generation of electricity or on the reverse reaction as the battery is recharged. The change in free energy (−ΔG) for a reaction could be determined by measuring directly the amount of electrical work that the battery could do and then using the equation Wmax = −ΔG. However, the power of thermodynamics is that −ΔG can be calculated without having to build every possible battery and measure its performance. If the Gibbs free energies of the individual substances making up a battery are known, then the total free energies of the reactants can be subtracted from the total free energies of the products in order to find the change in Gibbs free energy for the reaction, ΔG = Gproducts − Greactants. (16)Once the free energies are known for a wide variety of substances, the best candidates for actual batteries can be quickly discerned. In fact, a good part of the practice of thermodynamics is concerned with determining the free energies and other thermodynamic properties of individual substances in order that ΔG for reactions can be calculated under different conditions of temperature and pressure.
In the above discussion, the term reaction can be interpreted in the broadest possible sense as any transformation of matter from one form to another. In addition to chemical reactions, a reaction could be something as simple as ice (reactants) turning to liquid water (products), the nuclear reactions taking place in the interior of stars, or elementary particle reactions in the early universe. No matter what the process, the direction of spontaneous change (at constant temperature and pressure) is always in the direction of decreasing free energy.
Enthalpy and the heat of reaction
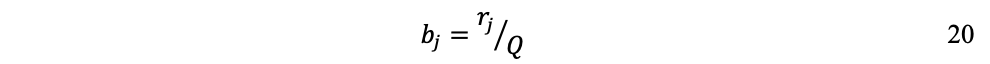
As discussed above, the free energy change Wmax = −ΔG corresponds to the maximum possible useful work that can be extracted from a reaction, such as in an electrochemical battery. This represents one extreme limit of a continuous range of possibilities. At the other extreme, for example, battery terminals can be connected directly by a wire and the reaction allowed to proceed freely without doing any useful work. In this case W′ = 0, and the first law of thermodynamics for the reaction becomes ΔU = Q0 − PΔV, (17)where Q0 is the heat absorbed when the reaction does no useful work and, as before, PΔVis the atmospheric work term. The key point is that the quantities ΔU and PΔV are exactly the same as in the other limiting case, in which the reaction does maximum work. This follows because these quantities are state functions, which depend only on the initial and final states of a system and not on any path connecting the states. The amount of useful work done just represents different paths connecting the same initial and final states. This leads to the definition of enthalpy (H), or heat content, as H = U + PV. (18)Its significance is that, for a reaction occurring freely (i.e., doing no useful work) at constant temperature and pressure, the heat absorbed is Q0 = ΔU + PΔV = ΔH, (19)where ΔH is called the heat of reaction. The heat of reaction is easy to measure because it simply represents the amount of heat that is given off if the reactants are mixed together in a beaker and allowed to react freely without doing any useful work.
The above definition for enthalpy and its physical significance allow the equation for ΔG to be written in the particularly illuminating and instructive form ΔG = ΔH − TΔS. (20)Both terms on the right-hand side represent heats of reaction but under different sets of circumstances. ΔH is the heat of reaction (i.e., the amount of heat absorbed from the surroundings in order to hold the temperature constant) when the reaction does no useful work, and TΔS is the heat of reaction when the reaction does maximum useful work in an electrochemical cell. The (negative) difference between these two heats is exactly the maximum useful work −ΔG that can be extracted from the reaction. Thus, useful work can be obtained by contriving for a system to extract additional heat from the environmentand convert it into work. The difference ΔH − TΔS represents the fundamental limitation imposed by the second law of thermodynamics on how much additional heat can be extracted from the environment and converted into useful work for a given reaction mechanism. An electrochemical cell (such as a car battery) is a contrivance by means of which a reaction can be made to do the maximum possible work against an opposing electromotive force, and hence the reaction literally becomes reversible in the sense that a slight increase in the opposing voltage will cause the direction of the reaction to reverse and the cell to start charging up instead of discharging.
As a simple example, consider a reaction in which water turns reversibly into steam by boiling. To make the reaction reversible, suppose that the mixture of water and steam is contained in a cylinder with a movable piston and held at the boiling point of 373 K (100 °C) at 1 atmosphere pressure by a heat reservoir. The enthalpy change is ΔH = 40.65 kilojoules per mole, which is the latent heat of vaporization. The entropy change is ΔS = 40.65/373 = 0.109 kilojoules per mole∙K, (21)representing the higher degree of disorder when water evaporates and turns to steam. The Gibbs free energy change is ΔG = ΔH − TΔS. In this case the Gibbs free energy change is zero because the water and steam are in equilibrium, and no useful work can be extracted from the system (other than work done against the atmosphere). In other words, the Gibbs free energy per molecule of water (also called the chemical potential) is the same for both liquid water and steam, and so water molecules can pass freely from one phase to the other with no change in the total free energy of the system.
Thermodynamic properties and relations
In order to carry through a program of finding the changes in the various thermodynamic functions that accompany reactions—such as entropy, enthalpy, and free energy—it is often useful to know these quantities separately for each of the materials entering into the reaction. For example, if the entropies are known separately for the reactants and products, then the entropy change for the reaction is just the difference ΔSreaction = Sproducts − Sreactantsand similarly for the other thermodynamic functions. Furthermore, if the entropy change for a reaction is known under one set of conditions of temperature and pressure, it can be found under other sets of conditions by including the variation of entropy for the reactants and products with temperature or pressure as part of the overall process. For these reasons, scientists and engineers have developed extensive tables of thermodynamic properties for many common substances, together with their rates of change with state variables such as temperature and pressure.
The science of thermodynamics provides a rich variety of formulas and techniques that allow the maximum possible amount of information to be extracted from a limited number of laboratory measurements of the properties of materials. However, as the thermodynamic state of a system depends on several variables—such as temperature, pressure, and volume—in practice it is necessary first to decide how many of these are independent and then to specify what variables are allowed to change while others are held constant. For this reason, the mathematical language of partial differential equationsis indispensable to the further elucidation of the subject of thermodynamics.
Of especially critical importance in the application of thermodynamics are the amounts of work required to make substances expand or contract and the amounts of heat required to change the temperature of substances. The first is determined by the equation of state of the substance and the second by its heat capacity. Once these physical properties have been fully characterized, they can be used to calculate other thermodynamic properties, such as the free energy of the substance under various conditions of temperature and pressure.
In what follows, it will often be necessary to consider infinitesimal changes in the parameters specifying the state of a system. The first law of thermodynamics then assumes the differential form dU = d′Q − d′W. Because U is a state function, the infinitesimal quantity dU must be an exact differential, which means that its definite integral depends only on the initial and final states of the system. In contrast, the quantities d′Q and d′W are not exact differentials, because their integrals can be evaluated only if the path connecting the initial and final states is specified. The examples to follow will illustrate these rather abstract concepts.
Work of expansion and contraction
The first task in carrying out the above program is to calculate the amount of work done by a single pure substance when it expands at constant temperature. Unlike the case of a chemical reaction, where the volume can change at constant temperature and pressure because of the liberation of gas, the volume of a single pure substance placed in a cylinder cannot change unless either the pressure or the temperature changes. To calculate the work, suppose that a piston moves by an infinitesimal amount dx. Because pressure is force per unit area, the total restraining force exerted by the piston on the gas is PA, where A is the cross-sectional area of the piston. Thus, the incremental amount of work done is d′W = PA dx.
However, A dx can also be identified as the incremental change in the volume (dV) swept out by the head of the piston as it moves. The result is the basic equation d′W = P dV for the incremental work done by a gas when it expands. For a finite change from an initial volume Vi to a final volume Vf, the total work done is given by the integral
(22)
Because P in general changes as the volume V changes, this integral cannot be calculated until P is specified as a function of V; in other words, the path for the process must be specified. This gives precise meaning to the concept that dW is not an exact differential.
Equations of state
The equation of state for a substance provides the additional information required to calculate the amount of work that the substance does in making a transition from one equilibrium state to another along some specified path. The equation of state is expressed as a functional relationship connecting the various parameters needed to specify the state of the system. The basic concepts apply to all thermodynamic systems, but here, in order to make the discussion specific, a simple gas inside a cylinder with a movable piston will be considered. The equation of state then takes the form of an equation relating P, V, and T, such that if any two are specified, the third is determined. In the limit of low pressures and high temperatures, where the molecules of the gas move almost independently of one another, all gases obey an equation of state known as the ideal gas law: PV = nRT, where nis the number of moles of the gas and R is the universal gas constant, 8.3145 joules per K. In the International System of Units, energy is measured in joules, volume in cubic metres (m3), force in newtons (N), and pressure in pascals (Pa), where 1 Pa = 1 N/m2. A force of one newton moving through a distance of one metre does one joule of work. Thus, both the products PV and RT have the dimensions of work (energy). A P–V diagram would show the equation of state in graphical form for several different temperatures.
To illustrate the path-dependence of the work done, consider three processes connecting the same initial and final states. The temperature is the same for both states, but, in going from state i to state f, the gas expands from Vi to Vf (doing work), and the pressure falls from Pi to Pf. According to the definition of the integral in equation (22), the work done is the area under the curve (or straight line) for each of the three processes. For processes I and III the areas are rectangles, and so the work done is WI = Pi(Vf − Vi) (23)and WIII = Pf(Vf − Vi), (24)respectively. Process II is more complicated because P changes continuously as V changes. However, T remains constant, and so one can use the equation of state to substitute P = nRT/V in equation (22) to obtain
(25)or, because PiVi = nRT = PfVf (26)for an (ideal gas) isothermal process,
(27)
WII is thus the work done in the reversible isothermal expansion of an ideal gas. The amount of work is clearly different in each of the three cases. For a cyclic process the net work done equals the area enclosed by the complete cycle.
Heat capacity and specific heat
As shown originally by Count Rumford, there is an equivalence between heat (measured in calories) and mechanical work (measured in joules) with a definite conversion factor between the two. The conversion factor, known as the mechanical equivalent of heat, is 1 calorie = 4.184 joules. (There are several slightly different definitions in use for the calorie. The calorie used by nutritionists is actually a kilocalorie.) In order to have a consistent set of units, both heat and work will be expressed in the same units of joules.
The amount of heat that a substance absorbs is connected to its temperature change via its molar specific heat c, defined to be the amount of heat required to change the temperature of 1 mole of the substance by 1 K. In other words, c is the constant of proportionality relating the heat absorbed (d′Q) to the temperature change (dT) according to d′Q = nc dT, where n is the number of moles. For example, it takes approximately 1 calorie of heat to increase the temperature of 1 gram of water by 1 K. Since there are 18 grams of water in 1 mole, the molar heat capacity of water is 18 calories per K, or about 75 joules per K. The total heat capacity C for n moles is defined by C = nc.
However, since d′Q is not an exact differential, the heat absorbed is path-dependent and the path must be specified, especially for gases where the thermal expansion is significant. Two common ways of specifying the path are either the constant-pressure path or the constant-volume path. The two different kinds of specific heat are called cP and cVrespectively, where the subscript denotes the quantity that is being held constant. It should not be surprising that cP is always greater than cV, because the substance must do work against the surrounding atmosphere as it expands upon heating at constant pressure but not at constant volume. In fact, this difference was used by the 19th-century German physicist Julius Robert von Mayer to estimate the mechanical equivalent of heat.
Heat capacity and internal energy
The goal in defining heat capacity is to relate changes in the internal energy to measured changes in the variables that characterize the states of the system. For a system consisting of a single pure substance, the only kind of work it can do is atmospheric work, and so the first law reduces to dU = d′Q − P dV.(28)
Suppose now that U is regarded as being a function U(T, V) of the independent pair of variables T and V. The differential quantity dU can always be expanded in terms of its partial derivatives according to
(29)where the subscripts denote the quantity being held constant when calculating derivatives. Substituting this equation into dU = d′Q − P dV then yields the general expression
(30)for the path-dependent heat. The path can now be specified in terms of the independent variables T and V. For a temperature change at constant volume, dV = 0 and, by definition of heat capacity, d′QV = CV dT. (31)The above equation then gives immediately
(32)for the heat capacity at constant volume, showing that the change in internal energy at constant volume is due entirely to the heat absorbed.
To find a corresponding expression for CP, one need only change the independent variables to T and P and substitute the expansion
(33)for dV in equation (28) and correspondingly for dU to obtain
(34)
For a temperature change at constant pressure, dP = 0, and, by definition of heat capacity, d′Q = CP dT, resulting in
(35)
The two additional terms beyond CV have a direct physical meaning. The term
represents the additional atmospheric work that the system does as it undergoes thermal expansion at constant pressure, and the second term involving
represents the internal work that must be done to pull the system apart against the forces of attraction between the molecules of the substance (internal stickiness). Because there is no internal stickiness for an ideal gas, this term is zero, and, from the ideal gas law, the remaining partial derivative is
(36)With these substitutions the equation for CP becomes simply CP = CV + nR (37)or cP = cV + R (38)for the molar specific heats. For example, for a monatomic ideal gas (such as helium), cV = 3R/2 and cP = 5R/2 to a good approximation. cVT represents the amount of translational kinetic energy possessed by the atoms of an ideal gas as they bounce around randomly inside their container. Diatomic molecules (such as oxygen) and polyatomic molecules(such as water) have additional rotational motions that also store thermal energy in their kinetic energy of rotation. Each additional degree of freedom contributes an additional amount R to cV. Because diatomic molecules can rotate about two axes and polyatomic molecules can rotate about three axes, the values of cV increase to 5R/2 and 3Rrespectively, and cP correspondingly increases to 7R/2 and 4R. (cV and cP increase still further at high temperatures because of vibrational degrees of freedom.) For a real gas such as water vapour, these values are only approximate, but they give the correct order of magnitude. For example, the correct values are cP = 37.468 joules per K (i.e., 4.5R) and cP− cV = 9.443 joules per K (i.e., 1.14R) for water vapour at 100 °C and 1 atmosphere pressure.
Entropy as an exact differential
Because the quantity dS = d′Qmax/T is an exact differential, many other important relationships connecting the thermodynamic properties of substances can be derived. For example, with the substitutions d′Q = T dS and d′W = P dV, the differential form (dU = d′Q − d′W) of the first law of thermodynamics becomes (for a single pure substance) dU = T dS − P dV. (39)
The advantage gained by the above formula is that dU is now expressed entirely in terms of state functions in place of the path-dependent quantities d′Q and d′W. This change has the very important mathematical implication that the appropriate independent variables are S and V in place of T and V, respectively, for internal energy.
This replacement of T by S as the most appropriate independent variable for the internal energy of substances is the single most valuable insight provided by the combined first and second laws of thermodynamics. With U regarded as a function U(S, V), its differential dU is
(40)
A comparison with the preceding equation shows immediately that the partial derivatives are
(41)Furthermore, the cross partial derivatives,
(42)must be equal because the order of differentiation in calculating the second derivatives of U does not matter. Equating the right-hand sides of the above pair of equations then yields
(43)
This is one of four Maxwell relations (the others will follow shortly). They are all extremely useful in that the quantity on the right-hand side is virtually impossible to measure directly, while the quantity on the left-hand side is easily measured in the laboratory. For the present case one simply measures the adiabatic variation of temperature with volume in an insulated cylinder so that there is no heat flow (constant S).
The other three Maxwell relations follow by similarly considering the differential expressions for the thermodynamic potentials F(T, V), H(S, P), and G(T, P), with independent variables as indicated. The results are
(44)
As an example of the use of these equations, equation (35) for CP − CV contains the partial derivative
which vanishes for an ideal gas and is difficult to evaluate directly from experimental data for real substances. The general properties of partial derivatives can first be used to write it in the form
(45)
Combining this with equation (41) for the partial derivatives together with the first of the Maxwell equations from equation (44) then yields the desired result
(46)
The quantity
comes directly from differentiating the equation of state. For an ideal gas
(47)and so
is zero as expected. The departure of
from zero reveals directly the effects of internal forces between the molecules of the substance and the work that must be done against them as the substance expands at constant temperature.
The Clausius-Clapeyron equation
Phase changes, such as the conversion of liquid water to steam, provide an important example of a system in which there is a large change in internal energy with volume at constant temperature. Suppose that the cylinder contains both water and steam in equilibrium with each other at pressure P, and the cylinder is held at constant temperature T, as shown in the figure. The pressure remains equal to the vapour pressurePvap as the piston moves up, as long as both phases remain present. All that happens is that more water turns to steam, and the heat reservoir must supply the latent heat of vaporization, λ = 40.65 kilojoules per mole, in order to keep the temperature constant.
The results of the preceding section can be applied now to find the variation of the boiling point of water with pressure. Suppose that as the piston moves up, 1 mole of water turns to steam. The change in volume inside the cylinder is then ΔV = Vgas − Vliquid, where Vgas= 30.143 litres is the volume of 1 mole of steam at 100 °C, and Vliquid = 0.0188 litre is the volume of 1 mole of water. By the first law of thermodynamics, the change in internal energy ΔU for the finite process at constant P and T is ΔU = λ − PΔV.
The variation of U with volume at constant T for the complete system of water plus steam is thus
(48)
A comparison with equation (46) then yields the equation
(49)However, for the present problem, P is the vapour pressure Pvapour, which depends only on T and is independent of V. The partial derivative is then identical to the total derivative
(50)giving the Clausius-Clapeyron equation
(51)
This equation is very useful because it gives the variation with temperature of the pressure at which water and steam are in equilibrium—i.e., the boiling temperature. An approximate but even more useful version of it can be obtained by neglecting Vliquid in comparison with Vgas and using
(52)from the ideal gas law. The resulting differential equation can be integrated to give
(53)
For example, at the top of Mount Everest, atmospheric pressure is about 30 percent of its value at sea level. Using the values R = 8.3145 joules per K and λ = 40.65 kilojoules per mole, the above equation gives T = 342 K (69 °C) for the boiling temperature of water, which is barely enough to make tea.
Concluding remarks
The sweeping generality of the constraints imposed by the laws of thermodynamics makes the number of potential applications so large that it is impractical to catalog every possible formula that might come into use, even in detailed textbooks on the subject. For this reason, students and practitioners in the field must be proficient in mathematical manipulations involving partial derivatives and in understanding their physical content.
One of the great strengths of classical thermodynamics is that the predictions for the direction of spontaneous change are completely independent of the microscopic structure of matter, but this also represents a limitation in that no predictions are made about the rate at which a system approaches equilibrium. In fact, the rate can be exceedingly slow, such as the spontaneous transition of diamonds into graphite. Statistical thermodynamics provides information on the rates of processes, as well as important insights into the statistical nature of entropy and the second law of thermodynamics.
The 20th-century English scientist C.P. Snow explained the first three laws of thermodynamics, respectively, as:
- You cannot win (i.e., one cannot get something for nothing, because of the conservation of matter and energy).
- You cannot break even (i.e., one cannot return to the same energy state, because entropy, or disorder, always increases).
- You cannot get out of the game (i.e., absolute zero is unattainable because no perfectly pure substance exists).